Breadcrumbs

Manage quality gates

Quality gates represent an achieved stage of a project or asset maturity. The quality gates that comprise the complete project implementation and asset lifecycle are represented in quality gate sequences.

Introduction

censhare allows you to manage the maturity of your assets and track the stages of projects automatically with quality gate sequences. A quality gate sequence comprises multiple quality gates that can only be achieved in the defined order (sequence). This means, the nth quality gate must be achieved (all completeness checks true) before the n+1st quality gate can be achieved, even if the completeness checks that comprise the n+1st quality gate are all true.

A quality gate sequence comprises multiple stages, called quality gates. A quality gate represents a defined stage or level of maturity. A quality gate comprises a set of completeness checks that must be true to achieve the quality gate.

Quality gates are built of a set of completeness checks. A completeness check performs a single check on an asset property or on an asset relation. The result of a completeness check is a boolean (true/false). 

The quality gate sequence of a single asset is displayed in the Status widget on an asset page. Standalone completeness checks can be displayed in a report widget.

Asset structure

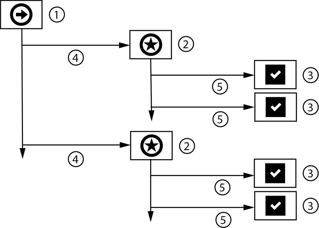
Quality gate sequence, quality gates and completeness checks are represented in the following asset structure:

image.jpeg

Caption

(1) Quality gate sequence
(2) Quality gate
(3) Completeness check
(4) Feature key reference Quality gate sequence → Quality gate
(5) Feature key reference Quality gate → Completeness check

Achieved quality gates

The Achieved quality gate indicates the current quality level of an asset. To achieve a quality gate, the following conditions must be matched:

  • All completeness checks of the current quality gate must be true.

  • All completeness checks of previous quality gates in the quality gate sequence must be true.

Display quality gates

The quality gate sequence and achieved quality gate of a single asset can be displayed in a Live report widget with the configuration:

Field

Value

Template

Quality check with workflow info - Template 

or

Quality check - Template

Query

Quality check - Query

Transformation

Quality check with workflow info - Transformation

or

Quality check - Transformation

Toolbar transformation

leave empty

Allow manual refresh

enabled

The workspace for Censhare dedicated solutions contains the Report quality check with workflow info workspace widget configuration. This configuration is available in the Status widget on the following workspace pages:

  • 3D model 

  • Audio

  • Video

  • Image

  • Document

  • Campaign

  • Marketing plan

  • Product (incl. sub-types)

  • Project

  • Text

  • Web package

If you need the Status widget on other asset pages, add the workspace widget configuration to the desired workspace container (tab) of the respective asset page. The configuration works out of the box and needs no further customization.